Iranian Journal of Medical Sciences

Document Type : Original Article(s)

Authors

1 Department of Anesthesiology, School of Medicine, Mashhad University of Medical Sciences, Mashhad, Iran

2 Department of Emergency, School of Medicine, Sabzevar University of Medical Sciences, Sabzevar, Iran

Abstract

Background: Intrathecal additive drugs are becoming increasingly common in anesthesia practice. We aimed to evaluate the additive effects of dexmedetomidine on spinal anesthesia with sufentanil in patients undergoing lower abdominal or lower limb surgery.
Methods: This double-blind randomized controlled trial was performed in Mashhad, Iran, between 2017 and 2018. Sixty patients undergoing lower abdominal or lower limb surgery were randomly divided to receive 15 mg of bupivacaine and 3 μg of sufentanil (control group; n=30) or 15 mg of bupivacaine, 3 μg of sufentanil, and 10 μg of dexmedetomidine (intervention group; n=30). Outcomes, comprised of the onset and regression of sensory and motor blocks, the duration of analgesia, analgesic use, hemodynamic parameters, and side effects, were assessed. The data were analyzed in the SPSS software (version 22), using different statistical tests. A P value of less than 0.05 was considered significant.
Results: The times of sensory and motor blocks reaching T10 and Bromage 3, respectively, were significantly shorter, while the times of sensory and motor regressions to S1 and Bromage 0, correspondingly, were significantly longer in the intervention group than in the control group (p <0.001). Both the frequency (P=0.006) and the dose (p <0.001) of postoperative analgesic use were significantly lower, and the duration of analgesia was significantly longer in the intervention group (p <0.001). The frequency of side effects and changes in hemodynamic parameters had no significant differences between the groups.
Conclusion: The sufentanil and dexmedetomidine combination in spinal anesthesia caused the earlier onset and later regression of sensory and motor blocks, longer postoperative analgesia, and lower analgesic use without significant side effects or hemodynamic changes, which appears to be due to the combined effects of sufentanil and dexmedetomidine.
Trial Registration Number: IRCT2017082833680N3.

Keywords

What’s Known

Intrathecal additive drugs have emerged as favorites in spinal anesthesia. Dexmedetomidine has shown promise in previous reports as an additive agent in combination with different anesthetics in spinal anesthesia.

What’s New

The combination of sufentanil and dexmedetomidine for spinal anesthesia yielded favorable results. The combined effects of sufentanil and dexmedetomidine can cause the earlier onset and later regression of sensory and motor blocks, longer postoperative analgesia, and lower analgesic use without significant side effects or hemodynamic changes.

Introduction

Spinal anesthesia is one of the most commonly used nerve block procedures for surgical operations involving the lower abdomen, the perineum, and the lower limbs owing to its quick effect and cost-effectiveness. 1 - 4 In recent years, intrathecal additive drugs have been used more often on the strength of their positive effects on the duration of blocks, the success rate, the patient’s satisfaction, the use of anesthetics, the need for general anesthesia, and the recovery time. They have been reportedly effective in the prolongation of intraoperative and postoperative analgesia. 5 Several drugs such as fentanyl, sufentanil, ketamine, tramadol, neostigmine, and magnesium sulfate are used as additives. 6

Since dexmedetomidine was proposed as a short-acting and fast-acting alpha-2 agonist, it has been used as an intravenous sedative in patients admitted to intensive care units. The consumption of alpha-2 agonists reduces the need for anesthetics and causes hemodynamic stability in patients as these drugs have sympatholytic effects. Alpha-2 agonists are also effective in reducing postoperative pains and shivering. In addition, the use of alpha-2 adrenergic agonist drugs as prodrugs not only causes somnolence and relieves anxiety in patients but also decreases their heartbeat and blood pressure during anesthesia. 5 , 7

Most clinical studies on intrathecal alpha-2 adrenergic drugs have been conducted using clonidine. 8 - 10 Dexmedetomidine is approximately 10 times more alpha-2–selective than clonidine. 11 , 12 As little as 3 μg of dexmedetomidine can prolong motor and sensory blocks without hemodynamic compromises. 7 , 13 Moreover, dexmedetomidine, similar to opioids and midazolam, has been used to relieve intra-articular pains. 14 , 15 It has also been proposed that intrathecal dexmedetomidine can induce better postoperative analgesia with trivial side effects, when used along with bupivacaine for spinal anesthesia. 13 , 16

However, few studies have investigated the efficacy and safety of this new alpha-2 adrenergic agonist as an adjunct drug in spinal anesthesia. 5 , 6 , 17 Therefore, we aimed to evaluate the effects of dexmedetomidine on the quality and duration of spinal anesthesia with sufentanil in patients undergoing lower abdominal or lower extremity surgery.

Patients and Methods

Ethical Considerations and Study Settings

This double-blind randomized controlled trial was carried out in the general surgery and orthopedics departments of Ghaem Hospital and Imam Reza Hospital, affiliated with Mashhad University of Medical Sciences, Mashhad, Iran, between 2017 and 2018.

Written informed consent was obtained from all the patients. The study was approved by the Ethics Committee of the Medical School of Mashhad University of Medical Sciences (approval code: IR.MUMS.fm.REC.1394.547). The study has been registered with the Iranian Registry of Clinical Trials (IRCT) at http://irct.ir (registered number: IRCT2017082833680N3).

Study Population

Keeping an alpha error of 0.05 and a beta error of 0.2 with an 80% study power, according to the study by Yektaş and others, we calculated the sample size to be a minimum of 42 (21 patients in each group).18 We used the following formula, considering the mean±SD of group 1 and group 2 to be 220.75±112.7 and 371.5±223.5, respectively. 19

n=(Z1-α2+Z1- β)2(S12+S22)(X-1-X-2)2

Nonetheless, we extended the sample size to 60 (30 patients in each group), assuming a possible 30% dropout rate in this population. Finally, 60 patients undergoing surgery on the lower abdomen or the lower extremities in our center were recruited via simple random sampling method.

The study was performed on 60 patients undergoing surgery on the lower abdomen or the lower extremities in the general surgery and orthopedics wards of Ghaem Hospital and Imam Reza Hospital. The inclusion criteria were comprised of being between 18 and 60 years old, being classified as Class I or II of the American Society of Anesthesiologists (ASA) classification, and having the indications of spinal anesthesia for the upcoming lower abdomen or lower extremity surgery.

Patients with drug addiction, diabetes mellitus, neuropathy, neuromuscular diseases, known allergies to the study drugs, or any contraindications of spinal anesthesia (e.g., raised intracranial pressure, localized sepsis, non-immobilization during puncture, or septic shock) were excluded from the study.

Intervention

The patients were randomly assigned to two groups of intervention (n=30) and control (n=30), after they provided written informed consent. Random allocation was done using a simple randomization technique and a table of computer-generated random numbers. Assignment concealment was done using sealed opaque envelopes. The investigators involved in data collection and analysis were blinded.

A fellow researcher, who was not involved in data collection and analysis, prepared the drugs according to the study protocol in concealed syringes, and then delivered them for injection to an anesthesiologist in the research team, who was blinded to the assignment of the patients. Spinal anesthesia was performed by the blinded anesthesiologist for all the participants in the sitting position with a 25-gauge Quincke spinal needle (Dr. Japan co. Ltd., China) through L3–L4 or L4–L5 spaces under standard sterile conditions.

The control group patients were injected intrathecally with 15 mg of bupivacaine (Marcaine®, AstraZeneca, Sweden) and 3 μg of sufentanil (Sufiject®, Aburaihan Iran). The intervention group received 15 mg of bupivacaine, 3 μg of sufentanil, and 10 μg of dexmedetomidine (Precedex®, Hospira, US) injections. After injection, the patients were immediately placed in the supine position. The patients and the person collecting the information were blinded to the group labels and the type of medications received.

Data Gathering

Before transferring the patients to the operating room, their baseline characteristics were documented. Demographic data, including age and gender, as well as clinical data, including past medical history and drug history (with an especial focus on hypertension), were recorded in a checklist.

Following the standard conditions, the basic monitoring of vital signs, including systolic, diastolic, and mean arterial blood pressures, the heart rate, and O2 saturation, was applied in all the patients. Vital signs were recorded every five minutes during the first 30 minutes and then every 10 minutes until the end of the operation. Vital signs were also recorded in the recovery room every 15 minutes for 60 minutes.

Any decline in the mean arterial pressure of more than 20% of the preoperative record was treated using a 6 mg intravenous ephedrine (STEROP, Belgium) injection. Reductions in the heart rate of below 50 beats per minute were also treated using 0.5 mg intravenous atropine injections.

A blinded researcher evaluated the sensory dermatome level bilaterally by cold sensation along the midclavicular line using an alcohol swab. The preoperative assessment was done every one minute until the sensory block level reached the T10 dermatome, and remained constant for two consecutive evaluations. After surgery, the time needed for regression to the S1 dermatome was also recorded.

The same investigator blindly assessed the motor dermatome level every one minute according to the modified Bromage scale, where zero means no block, one indicates an inability to move the hip, two denotes the inability to move the hip and the knee, and three shows the inability to move the hip, the knee, and the ankle. The times needed to reach Bromage three before surgery, and regress to Bromage zero after surgery were recorded.

All the times were recorded with reference to the time of spinal injection as time zero. In cases whose sensory levels of anesthesia on both sides were not equal, the side with a higher level was recorded.

The patients were instructed to use a 10-point visual analog scale (VAS) for the description of their pain severity, with zero indicating no pain at all and 10 denoting the most painful experience. The extent of analgesia was evaluated using VAS at 1, 3, 6, 12, and 24 hours after surgery. If the patients reported VAS scores of greater than four, they received a 0.5 mg intravenous injection of pethidine (Exir co., Iran).

The amount of analgesic consumption during the first 24 hours after surgery, the time of becoming able to urinate for the first time following surgery, and the side effects of the drugs including nausea, vomiting, itching, shivering, and headache were recorded for all the patients.

Statistical Analysis

All the data were analyzed using the SPSS software, version 16 (IBM Statistics, Chicago, USA). The results were described using mean±SD, and frequencies (percentages) or values. Data normality was assessed using the Kolmogorov–Smirnov test. The between-group comparison of the data was performed using the repeated measures ANOVA test, the independent samples t test, and the chi-square or Fisher exact test. A P value of less than 0.05 was considered statistically significant.

Results

Overall, 60 patients in two groups of intervention (n=30) and control (n=30) were studied (figure 1). The study groups had no significant differences regarding gender (P=0.08) and age (P=0.42). Nevertheless, they showed no difference concerning the medical history of hypertension or the drugs related to it. Table 1 indicates the comparison of the baseline demographic and clinical characteristics of the patients between the intervention and control groups.

Variable Control (Bupivacaine+Sufentanil) Group (n=30) Intervention (Bupivacaine+Sufentanil+Dexmedetomidine) Group (n=30) P value
Age 38.10±13.84 40.76±11.99 0.420a
Gender Male 25 (83.33%) 19 (63.33%) 0.080b
Female 5 (16.67%) 11 (36.67%)
Hypertension drug history 2 (6.7%) 2 (6.67%) 1.000b
Hypertension history 2 (6.7%) 2 (6.67%) 1.000b
aIndependent samples t test was used; bChi-square test or the Fisher exact test was used
Table 1.Baseline demographic and clinical characteristics of the intervention and control groups

Figure 1. CONSORT flow diagram of the study shows the inclusion and random allocation of the participants.

The main outcomes of the study are compared between the two groups and presented in table 2. As the table implies, the times of the sensory block reaching T10 and the motor block reaching Bromage three were significantly shorter, while the times for sensory regression to S1 and motor regression to Bromage zero were significantly longer in the intervention group than in the controls (P<0.001).

Outcome Control (Bupivacaine+Sufentanil) Group (n=30) Intervention (Bupivacaine+Sufentanil+Dexmedetomidine) Group (n=30) Effect Size (95% Confidence Interval) P value
Spinal Block Parameter Sensory block reaching T10 (min) 6.73±2.67 3.30±1.31 1.63 (1.11 to 2.15) <0.001 a
Sensory regression to S1 (min) 266.73±40.04 365.93±96.38 −1.34 (−1.86 to −0.83) <0.001a
Motor block reaching Bromage 3 (min) 8.73±3.99 5.22±2.89 1.00 (0.49 to 1.52) <0.001a
Motor regression to Bromage 0 (min) 199.10±49.55 349.43±97.39 −1.95 (−2.46 to −1.43) <0.001a
Clinical Measures Analgesic amount consumed (mg) 114.31±23.40 79.52±24.99 1.44 (0.87 to 2.02) <0.001a
Analgesia duration (min) 465.51±176.86 977.14±380.01 −1.83 (−2.40 to −1.25) <0.001a
Time to urination (min) 286.90±56.27 365.23±85.84 −1.08 (−1.60 to −0.56) <0.001a
Patients needing analgesics (frequency) 29 (96.67%) 21 (70.00%) 0.358 0.006b
aIndependent samples t test was used; bChi-square test or the Fisher exact test was used
Table 2.Comparisons of the main outcomes between the intervention and control groups

Moreover, both the frequency and the dose of postoperative analgesic consumption were significantly lower in the intervention group than in the control group (P=0.006 and P<0.001, respectively). The duration of analgesia in the intervention group (977.14±380.01 min) almost doubled that of the control group (465.51±176.86 min) (P<0.001). The time to the first urination after surgery was also significantly shorter in the intervention group than in the controls (P<0.001). Table 2 deals with the results of the comparisons in detail.

Overall, 14 (46.7%) patients in the control group, and 7 (23.3%) patients in the intervention group had side effects (P=0.058). The two groups showed no significant differences regarding the frequency of side effects, namely nausea, vomiting, shivering, and itching (table 3).

Side Effect Control (Bupivacaine+Sufentanil) Group (n=30) Intervention (Bupivacaine+Sufentanil+Dexmedetomidine) Group (n=30) P valuea
Nausea 2 (6.67%) 2 (6.67%) 1.000
Vomiting 3 (10.00%) 3 (10.00%) 1.000
Shivering 3 (10.00%) 1 (3.33%) 0.612
Itching 6 (20.00%) 1 (3.33%) 0.103
Total 14 (46.67%) 7 (23.33%) 0.058
aChi-square test or the Fisher exact test was used
Table 3.Comparisons of side effects between the intervention and control groups

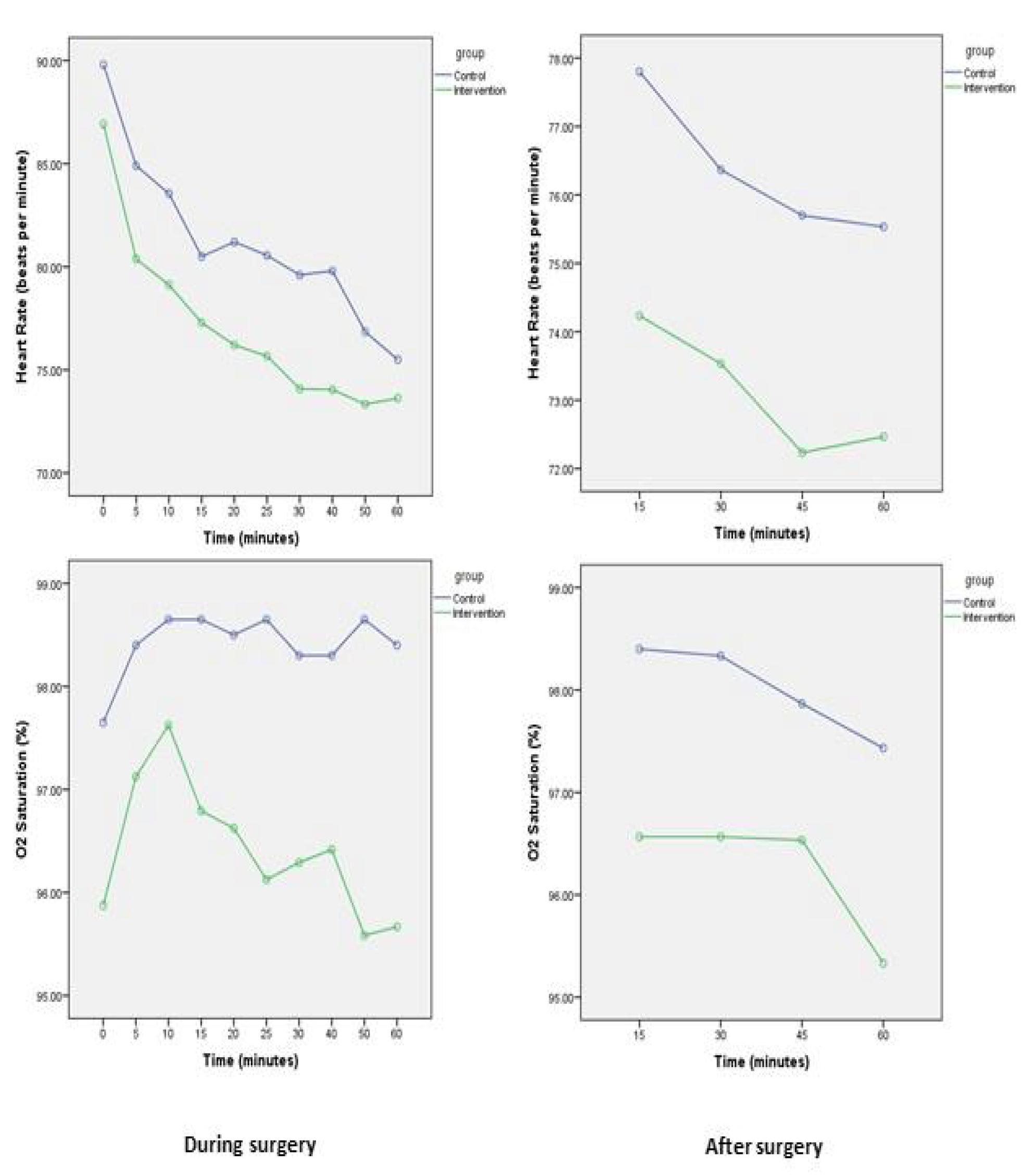
The mean values of hemodynamic parameters, including the systolic blood pressure, the diastolic blood pressure, the mean arterial blood pressure, O2 saturation, and the heart rate, during the first hour of the surgery and the first hour after the surgery in the recovery room, had no significant differences between the two groups (P>0.05) (figures 2 and 3).

Figure 2. Changes in systolic, diastolic, and mean arterial pressures during and after surgery are compared between the intervention and control groups.

Figure 3. Changes in the heart rate and O2 saturation during and after surgery are compared between the intervention and control groups.

Discussion

We found that combined sufentanil and dexmedetomidine yielded significantly shorter times for the sensory block reaching T10 and the motor block reaching Bromage three in the intervention group than sufentanil alone in the control group. Moreover, the processes of sensory regression to S1 and motor regression to Bromage zero were significantly slower in the intervention group than in the control subjects.

Additionally, the intervention group, in comparison with the control group, experienced a significantly longer duration of analgesia, while receiving significantly lower amounts of analgesics. The intervention group also had earlier postoperative urination ability than the control group. Still, side effects and hemodynamic parameters did not differ significantly between the two groups.

A study by Abbasnejad and others on the analgesic effects of fentanyl and sufentanil on spinal anesthesia showed that the duration of analgesia with sufentanil was significantly longer than that of fentanyl with no significant difference in the side effects. 20

In a study by Chatrath and colleagues, combined bupivacaine and dexmedetomidine needed a significantly shorter time for the sensory block to reach the T10 dermatome than bupivacaine alone. 21 Their results are in line with our findings regarding the positive effects of combined dexmedetomidine and sufentanil compared with sufentanil alone. Considering that the doses of dexmedetomidine were similar, the reduced time is probably due to the combined effects of dexmedetomidine and sufentanil in our study.

Al-Mustafa and colleagues, in their study on the effects of dexmedetomidine on spinal anesthesia, found that this drug had a dose-dependent effect on both the onset and the regression of motor and sensory blocks. They also found significantly shorter times needed for sensory and motor blocks to reach T10 and Bromage three, and significantly longer times of regression to S1 and Bromage zero, respectively, in patients receiving 10 μg of dexmedetomidine, compared with a placebo and a 5 μg dose. 22 These findings, in line with the findings of our study, could be the result of the additive effects of dexmedetomidine.

Similarly, Naaz and others reported the dose-dependent effect of dexmedetomidine on the onset of sensory and motor blocks in comparison with a placebo. They observed that the times needed in both sensory and motor blocks to reach T10 and Bromage three were decreased significantly by an increase in the dose of dexmedetomidine. Additionally, the times of regression to S1 and Bromage zero were increased significantly as the dose of dexmedetomidine increased. 6

Inconsistent with our results, in a study by Gupta and others, no significant difference was reported between the onset of sensory and motor blocks in groups receiving dexmedetomidine and fentanyl, although the total sensory and motor block times were significantly longer in those receiving dexmedetomidine. 16 Mahendru and others also found significantly longer durations of sensory and motor blocks in patients receiving dexmedetomidine. However, they detected no significant differences regarding the onset of the blocks between them and those receiving a placebo, fentanyl, and clonidine. 8 This difference may be due to the discrepancy in the dosage of dexmedetomidine and the conditions of our study.

In our study, the duration of postoperative analgesia was significantly longer in the intervention group than in the control group. Furthermore, the patients in the intervention group reported lower severities of pain, and thus, received significantly lower amounts of analgesics than the controls. These findings support the results of several previous studies. 6 , 8 , 16 - 18 , 21 - 23

The hemodynamic variables in our study did not significantly differ between the two groups. This result was in line with those of other investigations such as the studies by Chatrath and colleagues, Gupta and others, and Mahendru and others. 8 , 16 , 21 Nonetheless, this result was in contrast with the result reported by Mohamed and colleagues, 17 who investigated the efficacy of combined dexmedetomidine and fentanyl compared with dexmedetomidine only in patients undergoing major abdominal cancer surgery. They found that both groups experienced declines in their heart rate during surgery. In addition, they reported significant differences in terms of alterations in systolic and diastolic blood pressures between the two groups.

With respect to side effects such as nausea, vomiting, itching, shivering, and headache, we found no significant differences between our study groups, which is in accordance with most of the abovementioned studies. Mohamed and others, however, reported the incidence of vomiting to be significantly lower in patients receiving dexmedetomidine either with fentanyl or alone, than the control group, who did not receive dexmedetomidine at all. 17

We implemented the intervention for different ages and both genders but not for all ASA classes. Accordingly, our results cannot be completely extrapolated to all patients undergoing lower abdominal or lower extremity surgery. This suggests that patients in ASA Class I and Class II would benefit from the additive effects of dexmedetomidine to sufentanil in spinal anesthesia. Nevertheless, further studies on a more diverse sample population are needed to enhance the generalizability of the intervention.

One of the limitations of this study is that we failed to include patients in higher ASA classes. Therefore, performing a clinical trial with a larger sample size, including patients with higher ASA classes, would yield more comprehensive findings.

Conclusion

The combined effects of sufentanil and dexmedetomidine during spinal anesthesia trigger the rapid onset of sensory and motor blocks, prolong the duration of sensory and motor blocks and postoperative analgesia, and reduce the use of analgesics in the first 24 hours after surgery, without significant side effects and hemodynamic changes. These observations are due to the combined effects of sufentanil and dexmedetomidine.

Acknowledgement

This study is based on a thesis by Mojtaba Karimi for the MD degree in anesthesiology. The Vice Chancellorship for Research of Mashhad University of Medical Sciences provided financial support for this study (grant number: 940570).

Conflict of Interest: None declared.

References

  1. Kokki H. Spinal blocks. Paediatr Anaesth. 2012; 22:56-64. DOI | PubMed
  2. Lopez T, Sanchez FJ, Garzon JC, Muriel C. Spinal anesthesia in pediatric patients. Minerva Anestesiol. 2012; 78:78-87. DOI | PubMed
  3. Kooij FO, Schlack WS, Preckel B, Hollmann MW. Does regional analgesia for major surgery improve outcome?. Focus on epidural analgesia. Anesth Analg. 2014; 119:740-4. DOI | PubMed
  4. Opperer M, Danninger T, Stundner O, Memtsoudis SG. Perioperative outcomes and type of anesthesia in hip surgical patients: An evidence based review. World J Orthop. 2014; 5:336-43. Publisher Full Text | DOI | PubMed [ PMC Free Article ]
  5. Safari F, Kamranmanesh M, Mottaghi K, Sezari P, Dianat M, Hamzehlou A, et al. Evaluation of dexmedetomidine as an adjuvant to intratechal bupivacaine in opioids addicted patients, candidate for lower extremity surgery. Journal of Iranian Society Anaesthesiology and Intensive Care. 2016; 38:21-31.
  6. Naaz S, Bandey J, Ozair E, Asghar A. Optimal Dose of Intrathecal Dexmedetomidine in Lower Abdominal Surgeries in Average Indian Adult. J Clin Diagn Res. 2016; 10:UC09-13. Publisher Full Text | DOI | PubMed [ PMC Free Article ]
  7. Abdallah FW, Brull R. Facilitatory effects of perineural dexmedetomidine on neuraxial and peripheral nerve block: a systematic review and meta-analysis. Br J Anaesth. 2013; 110:915-25. DOI | PubMed
  8. Mahendru V, Tewari A, Katyal S, Grewal A, Singh MR, Katyal R. A comparison of intrathecal dexmedetomidine, clonidine, and fentanyl as adjuvants to hyperbaric bupivacaine for lower limb surgery: A double blind controlled study. J Anaesthesiol Clin Pharmacol. 2013; 29:496-502. Publisher Full Text | DOI | PubMed [ PMC Free Article ]
  9. Abelson KS, Hoglund AU. The effects of the alpha2-adrenergic receptor agonists clonidine and rilmenidine, and antagonists yohimbine and efaroxan, on the spinal cholinergic receptor system in the rat. Basic Clin Pharmacol Toxicol. 2004; 94:153-60. DOI | PubMed
  10. Elia N, Culebras X, Mazza C, Schiffer E, Tramer MR. Clonidine as an adjuvant to intrathecal local anesthetics for surgery: systematic review of randomized trials. Reg Anesth Pain Med. 2008; 33:159-67. DOI | PubMed
  11. Afonso J, Reis F. Dexmedetomidine: current role in anesthesia and intensive care. Rev Bras Anestesiol. 2012; 62:118-33. DOI | PubMed
  12. Mantz J, Josserand J, Hamada S. Dexmedetomidine: new insights. Eur J Anaesthesiol. 2011; 28:3-6. DOI | PubMed
  13. Kanazi GE, Aouad MT, Jabbour-Khoury SI, Al Jazzar MD, Alameddine MM, Al-Yaman R, et al. Effect of low-dose dexmedetomidine or clonidine on the characteristics of bupivacaine spinal block. Acta Anaesthesiol Scand. 2006; 50:222-7. DOI | PubMed
  14. Alipour M, Tabari M, Faz RF, Makhmalbaf H, Salehi M, Moosavitekye SM. Effect of dexmedetomidine on postoperative pain in knee arthroscopic surgery; a randomized controlled clinical trial. Arch Bone Jt Surg. 2014; 2:52-6. Publisher Full Text | PubMed [ PMC Free Article ]
  15. Nahravani M, Tekye SM, Alipour M, Makhmalbaf H, Aghaee MA. Analgesia Following Arthroscopy - a Comparison of Intra-articular Bupivacaine and/or Midazolam and or Fentanyl. Arch Bone Jt Surg. 2017; 5:28-31. Publisher Full Text | PubMed [ PMC Free Article ]
  16. Gupta R, Verma R, Bogra J, Kohli M, Raman R, Kushwaha JK. A Comparative study of intrathecal dexmedetomidine and fentanyl as adjuvants to Bupivacaine. J Anaesthesiol Clin Pharmacol. 2011; 27:339-43. Publisher Full Text | DOI | PubMed [ PMC Free Article ]
  17. Mohamed AA, Fares KM, Mohamed SA. Efficacy of intrathecally administered dexmedetomidine versus dexmedetomidine with fentanyl in patients undergoing major abdominal cancer surgery. Pain Physician. 2012; 15:339-48. PubMed
  18. Yektas A, Belli E. The effects of 2 microg and 4 microg doses of dexmedetomidine in combination with intrathecal hyperbaric bupivacaine on spinal anesthesia and its postoperative analgesic characteristics. Pain Res Manag. 2014; 19:75-81. Publisher Full Text | DOI | PubMed [ PMC Free Article ]
  19. Rosner B. Fundamentals of biostatistics. New York: Cengage Learning; 2015.
  20. Abbasnejad A, Jalili MR, Talaei A, Saeidi H. Comparison between fentanyl and sufentanil analgesic effect on spinal anesthesia. Journal of Birjand University of Medical Sciences. 2008; 15:19-26.
  21. Chatrath V, Attri JP, Kaur G, Khetarpal R, Bansal P. Comparative evaluation of bupivacaine alone versus bupivacaine and dexmedetomidine for spinal anesthesia in infraumbilical surgeries. Ain-Shams Journal of Anaesthesiology. 2015; 8:83. DOI
  22. Al-Mustafa MM, Abu-Halaweh SA, Aloweidi AS, Murshidi MM, Ammari BA, Awwad ZM, et al. Effect of dexmedetomidine added to spinal bupivacaine for urological procedures. Saudi Med J. 2009; 30:365-70. PubMed
  23. Kim JE, Kim NY, Lee HS, Kil HK. Effects of intrathecal dexmedetomidine on low-dose bupivacaine spinal anesthesia in elderly patients undergoing transurethral prostatectomy. Biol Pharm Bull. 2013; 36:959-65. DOI | PubMed